ГОСТ 24401-80 Брусья для пресс-форм. Конструкция и размеры
Описание:
Обозначение: ГОСТ 24401-80
Статус: действующий
Название русское: Брусья для пресс-форм. Конструкция и размеры
Название английское: Casting die beams. Construction and dimensions
Дата издания: 01.03.2004
Дата введения в действие: 01.01.1982
Переиздание: переиздание с изм. 1
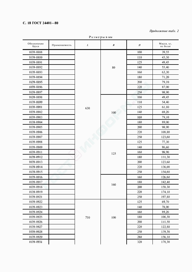
Область и условия применения: Настоящий стандарт распространяется на литые брусья и брусья из проката для прессования и литья под давлением в пресс-формах изделий из пластмасс и сплавов цветных металлов
Список изменений: №1 от (рег. ) «Срок действия продлен»
Приложение №0: Изменение №1 к ГОСТ 24401-80
Текст ГОСТ 24401-80
Приложение к ГОСТу
Изменение №1 к ГОСТ 24401-80
Обозначение: Изменение №1 к ГОСТ 24401-80
Дата введения в действие: 01.01.1987
Текст поправки интегрирован в текст или описание стандарта.
ГОСТы
Нормативные документы























